抗低溫、抗干旱、保花保果、改善品質 天然蕓苔素甾醇應用前景廣闊(蕓苔素在果樹上的使用) 分享
發布時間:2023-11-13 16:44:00 來源:轉載 訪問量:
一、全球農業現狀
1.1 全球極端天氣頻發,農業生產面臨挑戰
在全球變暖的情形下,全球氣候變化引發的極端災害使農業生產的不穩定性增加[1]。農業生產是一種自然再生產和經濟再生產相交織的生產活動,氣候變化是農業生產過程中的重要挑戰。當前,北半球多地頻現高溫天氣,給全球農業生產帶來多方面的不利影響。一是糧食作物減產風險較大;二是農業生產成本或將上漲;三是全球糧食市場不確定性增加[2]。世界氣象組織認為,受氣候變化影響,預計未來極端高溫將出現得更頻繁、更強烈。如何應對極端高溫天氣對農業生產造成顯著的負面影響是一個不可回避的問題[3]。
1.2 對農產品品質和產量穩定性追求成為農業的主要目標之一
提高農作物的產量和質量歷來是全球農業的主要目標之一[4]。這個目標大略可以從以下幾個方面的研究來達到:一是提高農作物及農副產品的生產能力;二是提高農作物的抗病毒、抗害蟲、抗真菌的能力;三是提高農作物抗旱、抗寒能力[5]。利用植物化控技術和植物生長調節劑是增加作物產量、改善作物品質的重要途徑,對于深入挖掘作物產量潛力具有重要意義[6]。
二、植物生長調節劑在農業中發揮顯著作用
植物生長調節劑是一類控制植物生長發育的農藥,包括與天然植物激素相似的合成化合物和直接從生物體中提取的激素。它是人們在了解了天然植物激素的結構和作用機制,了解了微量分析、有機合成、植物生理和生物化學,掌握了現代農林園藝栽培等多種科學技術后綜合發展的產物[7]。植物生長調節劑的應用是農業五大新技術之一,其具有使用投資小、見效快、用量微達ppm級(百萬分之級)、效果顯著、投入產出比極高等特點。隨著農業生產技術的發展,植物生長調節劑的作用越來越重要,一方面能進一步提高作物產量,另一方面調節劑能提高植物自身免疫力,發揮保健作用、減少農藥用量和惡劣氣候對農作物的損害。植物生長調節劑的研究及其在生產上的應用,是近代植物生理學及農業科學的重大進展之一,世界各國的農業科學家都高度重視這一領域,植物生長調節劑的應用已成為農業科技發展水平的重要標志[8]。

圖1 植物生長調節劑主要作用(圖片來源植保科學)
三、植物生長調節劑-蕓苔素甾醇研究現狀
3.1 蕓苔素甾醇的發現
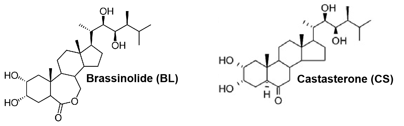
從20世紀30年代對生長素的研究開始,植物生長調節劑便得到了快速的發展,隨后又陸續發現了赤霉素(GA)、脫落酸(ABA)、細胞分裂素(CTK)、乙烯(ETH)和蕓苔素甾醇(BRs)等植物生長調節劑[9]。在品類眾多的植物生長調節劑中,蕓苔素甾醇自發現之初就成為科學家熱議的話題,蕓苔素甾醇是一類在植物生長發育中起著多重作用的植物激素,由美國農業部科學家J.W.Mitchell等人在1970年首先從油菜屬植物的油菜花粉中提取得到[10]。1979年Grove等從蜜蜂采集的油菜花粉中分離出了4 mg的生物活性物質,通過晶體衍射分析確定了該種物質的化學結構,該化合物被命名為蕓苔素內酯(brassinolide,BL)[11]。1982年日本科學家Yokota等又從板栗的蟲癭中分離出了另一種類似于BL的生物活性物質CS(castasterone),并證明CS是BL的直接前體。隨后,科學家們又從不同植物的多種器官中分離出了七十多種類似物,并將此類物質統稱為油菜素甾醇、蕓苔素甾醇或蕓苔素內酯類化合物(BRs)[12]。直到1998年,第16屆國際植物生長物質學會年會上蕓苔素甾醇才被正式確認為第六大植物激素[13]。

圖2 BL和CS化學結構式[12]
3.2 蕓苔素甾醇的作用機制
BRs體內合成發生在合成部位細胞內質網,再經高爾基體分泌至胞外,然后BRs在效應部位細胞膜上被受體結合,進而激活細胞內一系列信號轉導途徑。細胞膜上存在BRs受體蛋白BRI1,以及受體復合物蛋白BAK1[14]。當BRs不存在時,BRI1和BAK1分別與其抑制蛋白BKI1和BIR3相互作用,阻止BRs受體復合物的形成,使BRs信號通路處于關閉狀態。細胞質蛋白激酶BIN2是BR信號的負調控因子,可使BRs轉錄因子BES1和BZR1磷酸化而滯留在細胞質,無法進入細胞核行使轉錄激活功能。當BRs存在時,受體蛋白BRI1胞外結構可與BRs結合,并引起細胞內分子結構發生變化,同時招募細胞膜上的受體復合物蛋白BAK1共同形成BRI1-BR-BAK1受體復合物,激活細胞內信號轉導途徑[15,16]。

圖3 蕓苔素甾醇受體及其與受體結合示意圖[14]

圖4 細胞內BR信號轉導途徑[16]
四、天然蕓苔素甾醇的發現及其優勢
4.1 天然蕓苔素甾醇的來源及產業化
有報道表明,″蕓苔素″的生產工藝分為源自天然提取和人工合成兩種截然不同的工藝路線。中國天然提取技術的研究始于上世紀八十年代初,最初是采用從油菜蜂蠟中提取得到天然蕓苔素甾醇活性成分的方法。后來,相繼研發成功酶法水解定向提取等新工藝技術。中國農藥信息網顯示,源自天然提取的蕓苔素,以天然14-羥基蕓苔素甾醇為標志性的產品(商品名:碩豐481)由成都新朝陽作物科學股份有限公司于2017年在中國農業農村部首次獲得農藥登記。人工合成蕓苔素類似物的研究開始于1982年,全球各國都致力于人工合成蕓苔素內酯,使低成本、大規模、工業化生產蕓苔素內酯類物質成為現實。根據歐盟和中國農藥登記信息顯示,目前已獲得農藥登記的人工合成蕓苔素包括:24-表蕓苔素內酯、28-高蕓苔素內酯、22,23,24-三表蕓苔素內酯、28-表高蕓苔素內酯以及丙酰蕓苔素內酯。其中,前四種蕓苔素內酯均以BL為藍本,根據其結構差異,生物活性也有所不同,而丙酰蕓苔素內酯是經丙酰化的蕓苔素,其本身并不具備生物活性,而需要吸收后經體內代謝才能發揮作用。
4.2 天然蕓苔素甾醇的功能及優勢
天然產物來源的蕓苔素甾醇廣泛存在于自然和植物,對植物的親和度更高,應用作物更廣泛,更適于植物激素水平調節,功能多,活性高、安全性好,是蕓苔素類植物調節劑中最具優勢的活性成分。近年來,隨著極端天氣頻發,越來越嚴重影響農業生產、威脅糧食安全,如何去應對氣候變化帶來的問題,使農民能夠適應這些極端天氣;同時,如何避免傳統化學激素對″產量、果型″的外在影響和品質、口感的內在影響,顯著提高農產品的安全性和品質。而天然蕓苔素甾醇,具備了解決極端天氣環境與種子健康生長、提高農業產量和品質的問題。
4.2.1 活性顯著高于其他結構蕓苔素
選用不同蕓苔素產品0.01ppm開展小麥水培試驗,試驗5天后結果表明,天然蕓苔素甾醇較其他結構蕓苔素,根長多3%-168%,根重多8%-49%,株高多5%-29%,株重多44%-127%;而其他蕓苔素處理過的小麥根部均出現卷曲現象。在逆境條件下天然蕓苔素甾醇活性也顯著優于其他結構蕓苔素。

圖5 常規培養條件下不同蕓苔素產品活性對比試驗(圖片來自于植保科學)

圖5 逆境條件下不同蕓苔素產品對小麥生長的影響(圖片來自于植保科學)
4.2.2 天然蕓苔素甾醇在水果上的核心作用
1)保花保果,明顯提高果實座果率
在柑橘、蘋果、棗等果樹生產中普遍存在著落花落果現象,果樹自然座果率一般很低,如柑橘通常只有 2~3%,通過保花保果增加單位面積的結果數,對果樹增產有重要意義[17]。中國廣西砂糖橘在開花前、謝花2/3、第二次生理落果前5~7天,使用天然蕓苔素甾醇+赤霉酸方案保花保果,座果率比常規處理提高20%;幼果、果梗提前3天轉綠。因此,天然蕓苔素甾醇用于柑橘、蘋果等果樹,具有開花多、花壯,減少畸形花、畸形果;保花穩果,提高坐果率,效果轉綠快;減少落花落果,加快果實發育等作用,對提高果實品質和產量有顯著作用。


圖6 天然蕓苔素甾醇對柑橘保花保果效果(圖片來自于植保科學)
2)改善品質,顯著提高水果產量
針對柑橘、蘋果、大櫻桃以及大棚水果,使用天然蕓苔素甾醇 2000~3000倍+高鉀葉面肥,可以加速營養吸收利用,促進細胞分裂果實膨大,調節內源激素水平,促進果皮細膩,修正果型。

圖7 天然蕓苔素甾醇促進果皮細膩、果型正(圖片來自于植保科學)
在水果轉色初期開始連續使用天然蕓苔素甾醇+高鉀葉面肥2~3次,具有加速色素積累,促進均勻著色,顏色鮮艷,果皮細膩,增加光合作用促進糖分積累。

圖8 天然蕓苔素甾醇提高果實糖度(圖片來自于植保科學)
4.2.3 天然蕓苔素甾醇在大田作物上的核心作用
1)打破種子休眠,提高種子活力,芽齊、芽壯
天然蕓苔素甾醇能夠促進DNA與RNA聚合酶活性增強,由此使相關基因表達以及相關蛋白合成活化,并可以激活一些ATP酶的活性,促進質膜生成H+并向細胞壁轉移,導致細胞壁松弛、細胞伸長,加速組織生長,由此促進作物生長速度的提高,能夠更為有效地促進種子萌發[18]。

圖9 Ⅰ.不同處理的水稻種子萌發情況;Ⅱ.不同處理對水稻種子發芽率的影響;Ⅲ.不同處理對水稻種子發芽勢的影響
A為采用0.01 g·L-1 蕓苔素內酯(BL)浸種處理,B為用0.01 g·L-1 蕓苔素內酯(BL)催芽處理,C為清水對照[18]
針對小麥、水稻、玉米、大豆等播種前種子處理,天然蕓苔素甾醇30~50毫升拌100斤種子,配合殺菌殺蟲劑使用;浸種,天然蕓苔素甾醇1000~2000倍稀釋液中加入適量種子,浸泡至種子露白。具有顯著打破種子休眠,芽齊、芽壯,根系發達吸收好。

圖10 天然蕓苔素甾醇促進種子萌發,根系發達,芽齊、芽壯(圖片來自于植保科學)
2)促進生長,增加作物產量
天然蕓苔素在土耳其也得到廣泛應用,據反饋,在玉米苗期采用5%天然蕓苔素母藥復配NPK 18-18-18 + TE,每噸的添加量為120克,200g兌水噴霧一公頃能明顯促進玉米的生長。具體表現在植株更高、葉片更綠更肥厚,同時玉米植株長勢更健壯。

圖11 天然蕓苔素甾醇在土耳其的生測效果展示(左圖為對照處理,右圖為使用天然蕓苔素法處理)
小麥返青期,是小麥生長管理的關鍵時期之一。在這一時期使用0.01%天然蕓苔素甾醇水劑5~10毫升/畝+葉面營養迅速調節小麥生理狀態以及補充小麥葉面營養,促進莖稈的強壯,有效增加分蘗數。根據田間使用數據,分蘗期噴施天然蕓苔素甾醇的小麥分蘗數可達到4~5個,對照平均為3.5~4個,平均提高產量11~14%。

圖12 天然蕓苔素甾醇促進小麥分蘗,提高產量(圖片來自于植保科學)
在水稻小麥孕穗/大豆結莢/花生謝花后至灌漿期,采用碩豐481 8~16毫升/畝+高能紅鉀20~40毫升/畝葉面噴霧,減少空殼/秕粒,增加千粒重,平均增產15%左右。

圖13 天然蕓苔素甾醇中國試驗區平均增產15.28%
4.2.4 天然蕓苔素甾醇在大棚蔬菜和水果作物上的核心作用
植物光合反應的產物是植物開展有機化合物積累的基本來源,天然蕓苔素能夠促進RuBP(1,5-二磷酸核酮糖)羧化酶的活性增強,使CO2固定速率提升,增強光合效率,作物增產增收[19]。
1)移栽緩苗
在蔬菜幼苗移栽成活后,采用碩豐481 80毫升/畝滴灌或沖施,促進根系生長,提高成活率,減少死苗爛棵,加速營養吸收促進苗期快速生長。

圖14 圖左為對照處理,圖右為使用天然蕓苔素處理(圖片來自于植保科學)
2)提苗促花
在苗期或花期碩豐481 2000~3000倍+高能藍健1000倍+植物VC1000倍,能夠促進葉片肥厚油綠,促進養分吸收,提苗壯苗,促進茄果類花芽分化,減少畸形化弱花數量。在意大利,將0.03g蕓苔素純品用于1公頃滴灌,連續使用3次,間隔7天,番茄葉片和植株長勢更好,更茂密、更綠、番茄果實串更長。

圖15 天然蕓苔素甾醇在意大利的生測效果展示(左圖為對照處理,右圖為使用天然蕓苔素甾醇處理)
4.2.5天然蕓苔素甾醇在抗逆增產上的核心作用
天然蕓苔素甾醇可以增強小麥、玉米、水稻、果樹等作物在干旱、高溫、低溫等非生物脅迫逆境下的抗逆性。在寒害、凍害來臨前2-4天,寒害、凍害過后3天內,寒害、凍害過后10-15天分別采用0.0075%天然蕓苔素甾醇水劑8-15毫升+磷酸二氫鉀/氨基酸葉面肥兌水15-30公斤對花期的櫻桃樹進行葉面噴施,能夠增強作物對寒害、凍害的抵抗能力,減輕凍害影響30%以上,且受凍害的作物快速恢復生長(圖9)。

圖16 天然蕓苔素甾醇對櫻桃花抗低溫效果(圖片來自于植保科學)
天然蕓苔素甾醇能調理植株體內激素水平,縮小葉片上氣孔的開張角度,抑制蒸騰作用,降低水分的喪失,提高小麥植株抗干旱、抗干熱風能力。推薦在小麥齊穗揚花期,用天然蕓苔素甾醇2000液+花粉多糖高鉀1000倍葉面噴施,千粒重增加2-6%,畝產增加17-22%。同時,在小麥成熟前(乳熟盛期到蠟熟始期),根據天氣狀況和土壤墑情,在干熱風來到之前澆一次麥黃水,改善田間小氣候條件,減輕干熱風的危害。

圖17 天然蕓苔素甾醇在小麥抗干熱風效果(圖片來自于植保科學)
五、未來與展望
面對空前的人口壓力和極端氣候環境壓力,對糧食安全的當下威脅和長遠挑戰正引發全球關注。而植物生長調節劑在調控作物生長發育、增強作物抗逆能力、提高產量和品質進程中起到巨大作用,并逐步形成一整套成熟有效的作物化控技術,這些技術成果在克服環境和遺傳局限、改善品質和儲藏條件等方面發揮了積極作用。目前全球農藥市場銷售額基本穩定在650億美元左右,其中植物生長調節劑約占3%。從世界范圍來看,近年來,在其他農藥發展緩慢的市場環境中,植物生長調節劑市場保持了持續穩定的增長趨勢。1975年植物生長調節劑全球銷售額為2億美元,到1990 年達到9 億美元,目前植物生長調節劑全球銷售額約15億美元。
天然蕓苔素甾醇—14-羥基蕓苔素甾醇作為一種廣譜、高活性植物生長調節劑,因其生理活性獨特,適用范圍廣泛,使用劑量超低,安全性極高,增產增收效果突出而成為植物生長調節劑市場知名度極高的生物農藥品種。同時14-羥基蕓苔素甾醇是全球唯一實現產業化的天然蕓苔素甾醇產品,并獲得歐盟和美國有機認證,被大量的應用在有機和綠色農產品生產中。隨著全球極端天氣頻發和農產品品質消費需求升級,天然蕓苔素甾醇在增強作物抗逆性、提高糧食安全、提升產量和品質、推動全球農業綠色發展中必將發揮越來越重要的作用。
參考文獻
[1] 蔡運龍. 全球氣候變化下中國農業的脆弱性與適應對策[J]. 地理學報, 1996, 63(3).
[2] 黃亞林. 干旱地區天氣指數農業保險的國際借鑒[J]. 農業經濟, 2012(12):3.
[3] 劉杰 極端氣候事件影響我國農業經濟產出的計量經濟學分析[D]. 中國氣象科學研究院碩士學位論文,2011.
[4] 李炳坤. 推進農業產業結構的戰略性調整[J]. 農業經濟問題, 2000, 21(3):8.
[5] 陶龍興, 王熹, 黃效林,等. 植物生長調節劑在農業中的應用及發展趨勢[J]. 浙江農業學報, 2001, 13(5):5.
[6] 王大生. 穩定提高農產品的產量和質量必將是下一世紀農業發展的主導方向[J]. 長江流域資源與環境, 1999, 8(2):3.
[7] 裴海榮, 李偉, 張蕾,等. 植物生長調節劑的研究與應用[J]. 山東農業科學, 2015, 47(7):5.
[8] 周欣欣, 張宏軍, 白孟卿,等. 植物生長調節劑產業發展現狀及前景[J]. 農藥科學與管理, 2017, 38(11):6.
[9] 屈夢瑤, 劉慧芹, 劉嶧,等. 植物生長調節劑的種類及應用前景[J]. 天津農林科技, 2019(5):4.
[10] Mitchell, J.W., Mandava, N., Worley, J.F., Plimmer, J.R. & Smith, M.V. Brassins--a new family of plant hormones from rape pollen. Nature 225, 1065-1066 (1970).
[11] Michael D. Grove, G.F.S., William K. Rohwedder, Nagabhushanam Mandava, Joseph F. Worley, J. David Warthen Jr, George L. Steffens, Judith L. Flippen-Anderson & J. Carter Cook Jr Brassinolide, a plant growth-promoting steroid isolated from Brassica napus pollen. Nature 281, 216–217 (1979).
[12] Hothorn M , Belkhadir Y , Dreux M , et al. Structural basis of steroid hormone perception by the receptor kinase BRI1[J]. Nature, 2011, 474(7352):467-471.
[13] 王煥民. 蕓苔素內酯:植物生長發育的一種基本調節物質[J]. 農藥, 2000, 39(001):11-14.
[14] Zhifu, Han, Tae-Wuk, et al. Structural insight into brassinosteroid perception by BRI1[J]. Nature, 2011.
[15] Clouse, Steven D . A History of Brassinosteroid Research from 1970 through 2005: Thirty-Five Years of Phytochemistry, Physiology, Genes, and Mutants[J]. Journal of Plant Growth Regulation, 2015, 34(4):828-844.
[16] Tang J , Han Z , Chai J . Q&A: what are brassinosteroids and how do they act in plants?[J]. Bmc Biology, 2016, 14(1):113.
[17] 孫振令, 張紅雨. 蕓苔素內酯的研究進展及其在農業生產中的應用[J]. 淄博學院學報:自然科學與工程版, 2001, 3(2):4.
[18] 陳靚靚, 李茉莉, 羅為桂,等. 蕓苔素對陳化水稻種子萌發和幼苗生長的影響[J]. 亞熱帶植物科學, 2018, 47(1):5.
[19] 陳秀,方朝陽.植物生長調節劑蕓苔素內酯在農業上的應用現狀及前景[J].世界農藥, 2015,37(2):34-42.
特別聲明:以上內容(如有圖片或視頻亦包括在內)轉自網絡,刊登本文僅為傳播信息之用,絕不代表贊同其觀點或擔保其真實性,若有來源標注錯誤或侵犯了您的合法權益,請與本網聯系,我們將及時更正、刪除,謝謝。
中文
EN


